企業博客
更多>>石英晶振靜態高溫儲存設計
來源:http://www.dl-zp.cn 作者:康比電子 2019年03月01
坐落在各種類型電子產品中的石英晶振有著強大的性能提供到產品本身,然而要成為一個合格完美的晶振成品,其中經過了各種實驗設計,各種公式的套用.各種實驗測試.石英晶振起產生頻率的作用,具有穩定,抗干擾性能良好的, 廣泛應用于各種電子產品中.在電子技術領域中一直占有重要的地位.那么對此又有多少的了解,或是有多少的了了解程度.
靜態高溫儲存之MTBF失效數求取活化能
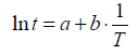
為了研究可靠性靜態高溫儲存與動態老化對Ea的差異性,該篇文章亦參考了軍標規范的MTBF失效法[8]來求取高溫儲存的Ea,公式(9)為阿瑞尼斯的古典方程
若將t替換為平均無故障時間(Meantimebetweenfailures,MTBF),則可將公式(9)轉化表達為公式(10)
其中n為樣品數量,t為實驗時間,r為失效產品數量,
表4為高溫儲存的實驗設計,透過不同頻偏規格可計算出樣品的失效總數,但有效區塊的選擇必須滿足電子元器件的一般失效原則,方能視為有效的MTBF值.以表4為例±5ppm/±5?對應1921hrs的失效數,其失效不符合石英晶振電子元器件溫度愈高失效數愈多的原則,故不得作為Ea平均計算的依據.
最后再將區塊內的數據繼續依公式(10)計算出產品MTBF與透過線性擬合出斜率Ea值,結果如表5和表6所示,5032貼片晶振金屬焊封晶體諧振器靜態高溫儲存的Ea平均值為0.569(eV).
結論
本文實際測試純粹僅有熱加速因子的靜態高溫儲存與同時有熱與電壓的動態老化,兩種不同分析手法有著極為相近的活化能,意味者R(i)電流的影響在5.0mm×3.2mm金屬焊封石英晶體諧振器無顯著的差異,使用靜態高溫儲存來輔助預測動態老化的Ea值求取是可行的.在熱與電壓兩項加速因子影響下,活化能會隨著長時間老化的作用呈現遞減的趨勢,進而大幅增加產品壽命預測的不合理性,故必須透Arrhenius回歸驗證才能證明Ea值的準確性.在2009年及2010年連續兩年的信賴性研究認定7天動態老化的Ea=0.578(eV)較具有代表性,并作為石英晶振產品等效壽命推估的基礎.在可靠性1000hrs老化頻偏±5ppm規格下,動態老化85℃@168hrs(7天)的產品等效該產品于25℃連續工作7389hrs(0.83年)不失效,105℃@168hrs(7天)的產品等效該產品于25℃連續工作19687.92hrs(2.24年)不失效.
靜態高溫儲存之MTBF失效數求取活化能
為了研究可靠性靜態高溫儲存與動態老化對Ea的差異性,該篇文章亦參考了軍標規范的MTBF失效法[8]來求取高溫儲存的Ea,公式(9)為阿瑞尼斯的古典方程


表4為高溫儲存的實驗設計,透過不同頻偏規格可計算出樣品的失效總數,但有效區塊的選擇必須滿足電子元器件的一般失效原則,方能視為有效的MTBF值.以表4為例±5ppm/±5?對應1921hrs的失效數,其失效不符合石英晶振電子元器件溫度愈高失效數愈多的原則,故不得作為Ea平均計算的依據.
表4.高溫儲存的實驗設計與不同規格下的失效數
表5.高溫儲存的平均無故障時間

本文實際測試純粹僅有熱加速因子的靜態高溫儲存與同時有熱與電壓的動態老化,兩種不同分析手法有著極為相近的活化能,意味者R(i)電流的影響在5.0mm×3.2mm金屬焊封石英晶體諧振器無顯著的差異,使用靜態高溫儲存來輔助預測動態老化的Ea值求取是可行的.在熱與電壓兩項加速因子影響下,活化能會隨著長時間老化的作用呈現遞減的趨勢,進而大幅增加產品壽命預測的不合理性,故必須透Arrhenius回歸驗證才能證明Ea值的準確性.在2009年及2010年連續兩年的信賴性研究認定7天動態老化的Ea=0.578(eV)較具有代表性,并作為石英晶振產品等效壽命推估的基礎.在可靠性1000hrs老化頻偏±5ppm規格下,動態老化85℃@168hrs(7天)的產品等效該產品于25℃連續工作7389hrs(0.83年)不失效,105℃@168hrs(7天)的產品等效該產品于25℃連續工作19687.92hrs(2.24年)不失效.
正在載入評論數據...
相關資訊
- [2024-02-18]Greenray晶體振蕩器專為國防和航...
- [2024-01-20]HELE加高產品和技術及熱門應用
- [2024-01-20]HELE加高一個至關重要的組件晶體...
- [2023-12-28]Suntsu晶振最新的射頻濾波器突破...
- [2023-12-28]Qantek提供各種高可靠性微處理器...
- [2023-10-11]日本納卡石英晶體的低老化領先同...
- [2023-09-25]遙遙領先H.ELE開啟汽車創新
- [2023-09-23]瑞薩電子MCU和MPU產品領先同行






