企業博客
更多>>在選用晶振時教你如何核算并確定并電容及動態電容
很多設計工程師在選型一個晶振都必須要知道的它的并電容,才能知道應該匹配那種參數的晶振,而且在 PCB 上每個芯片的 Vcc 到地都要安裝一個退耦電容在離引腳最近的位置上, 從電路圖上來看, 它們都是并聯的,今天康比電子給大家講解一下關于并電容C0、動態電容C1的核算與電極尺寸的確定
1、并電容C0
并電容又叫靜電容,有兩部分組成:一部分是由電極相對應的有效區域組成的電容Ce,另一部分是由電極引出部分及電極與外盒、兩引出線之間的分布電容Ch組成。即:
C0=Ce+Ch (3.6.38)
式中Ce為電極面積。
.png)
式中
Φe一電極直徑(mm);
tF一石英晶振晶片腐蝕后的厚度(mm);
le一電極長度(參考表3.6.4的電極尺寸)(mm);
We一電極寬度(參考表364的電極尺寸)(mm);
對于HC-49U/S,Ch=0.6pF左右;對于HC-49U/S-SMD矮形,Ch=0.9~1.0pF左右。
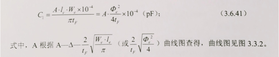
2、計算動態電容C1
.png)
Φe一圓電極直徑(mm);
tF一石英片腐蝕后的厚度(mm);
le一電極長度(參考表3.6.4的電極尺寸)(mm);
We一電極寬度(參考表364的電極尺寸)(mm);
同時注意:
1)銀層厚度要控制好,最好為800~1000A;
2)腐后貼片晶振片的頻率分組組距最好為250-300ppm/組;
3)被銀后的頻率誤差為
ppm內;
4)使石英片長度與厚度之比即lx/t=1.5n倍。
2.8.3牽引靈敏度(S)
S=
;(ppm/pF); (3.6.42)
3、當并電容C0和動態電容C1無特殊要求時,電極尺寸按表3.6.4選取。
4、長條片設計實例
HC-49U/S-4000KHz石英晶體振蕩器元件的規格設計。
5、規格要求
(1)標稱頻率fn:4000KHz;
(2)調整頻差:±15ppm:T0=25±2℃;
(3)晶振工作溫度范圍:OTR:-20~+70℃;
相關資訊
- [2023-09-05]家用電器依賴Jauch晶振
- [2023-09-01]IQD常見問題
- [2023-06-29]6G小體積Q26.0-JXS21-12-10/20-...
- [2023-06-28]6G晶振X1G0036910116晶體振蕩器...
- [2020-07-07]TXC晶振強大之處原來可以從這點...
- [2019-08-26]電子書籍市場的晶振器件需具備小...
- [2019-08-22]低ESR50兆赫晶振優化性能
- [2019-08-13]為了您的應用選擇合適的晶振請仔...




